Q1. Anti-parallel strands of a DNA molecule
mean that
Solution
Anti-parallel strands of a DNA molecule mean that phosphate groups at
the start of two DNA strands (poles) are in opposite position.


Q2. Give one example of catabolic pathway.
Solution
Example of the catabolic pathway: Degradation of glucose into lactic acid
Q3. What is a chemical reaction?
Solution
The process of transformation of a substance in which old bonds are
broken and new bonds are formed is called a chemical reaction.
Q4. Nitrogenous bases present in DNA
Solution
DNA contains four types of nitrogenous bases:
Two double-ringed purines - adenine and
guanine Two single-ringed pyrimidines - cytosine and thymine
Q5. Which is true about enzymes?
Solution
All enzymes are
protein by nature.
Amino acids join by
peptide bonds and the molecule takes a three-dimensional conformation to form
active sites.
Q6. Define substrate.
Solution
The chemical which is converted into a product during an enzyme-catalysed
reaction is called a substrate.
Q7. Classify the following into nitrogen bases, nucleosides and nucleotides:
Guanine
Adenosine
Thymidylic acid
Uridine
Solution
Nitrogenous Base
Nucleoside
Nucleotide
Guanine
Adenosine
Uridine
Thymidylic acid
Q8. Enzymes with slightly different molecular structure but performing
identical activity are
Solution
Enzymes which have minor differences in
their molecular structure but perform identical catalytic activity are called
isoenzymes or isozymes.
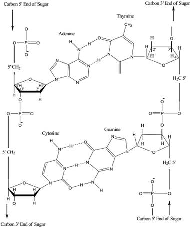
Q9. Hydrogen bonds present between cytosine and guanosine are
Solution
Cytosine and guanine are joined by three hydrogen bonds.
Adenine and thymine are joined by two hydrogen bonds.
Q10. Vitamin B2 is a component of coenzyme
Solution
Vitamin B2 is also called riboflavin.
FMN/FAD are composed of flavin, ribitol sugar and phosphate molecules.
Flavin is derived from riboflavin.
Q11. A functional protein is
Solution
An enzyme functions to regulate metabolism in cells. Enzymes are thus termed functional proteins.
Q12. Write two examples of the secondary metabolites for the following
categories which are of commercial importance:
Alkaloids
Drugs
Solution
Alkaloids - Codeine, Morphine
Drugs - Curcumin, Vinblastine
Q13. Glycogen is a homopolymer made of
Solution
Glycogen is a branched chain homopolymer. It consists of about 30,000
glucose units.
Q14. What are biomacromolecules?
Solution
Molecules which are found in the acid-insoluble fraction and have
molecular weights above 10,000 dalton
are called biomacromolecules.
Q15. Table sugar is
Solution
Sucrose is commonly called table sugar.
It is used as a sweetener in daily life in the form of sugar.
It is a non-reducing sugar containing one fructose and one glucose
molecule.
Q16. Enzymes are polymers of
Solution
Enzymes are protein
in nature.
They are polymers
of amino acids which form a three-dimensional tertiary structure.
Q17. A competitive inhibitor of succinic dehydrogenase is
Solution
Succinate
dehydrogenase oxidises succinate and forms fumarate.
Malonate acts as a
competitive inhibitor to succinate by competing with it for binding to the active
site on the enzyme succinate dehydrogenase.
Q18. What is the dynamic state of body constituents?
Solution
The flow of metabolites through a metabolic pathway at a definite rate
and in a definite direction is called the dynamic state of body constituents.
Q19. Name the polysaccharide which is found in the exoskeleton of
arthropods.
Solution
Chitin
Q20. The most abundant element in living beings is
Solution
Carbon forms the backbone of all the important molecules which make up
a living cell - nucleic acids, carbohydrates, fats and proteins.
Thus, it is the most abundant element in living forms.
Q21. Glycogen is a polymer of
Solution
Glycogen is a polymer of
glucose containing 30,000 glucose units.
It is a branched
chain.
Glucose is joined by 1-4 α glycosidic
bonds.
Q22. Which of the following is a structural subunit
of DNA?
Solution
Nucleotides are structural sub-units of DNA. Nucleotides join with
each other through phosphodiester bonds to form a polynucleotide.
Q23. In DNA, hydrogen bonds and base pairing occur between which pairs?
Solution
In DNA, hydrogen bonds and base pairing occur between A and T and C and G.

Q24. What is the other name given to
B-DNA?
Solution
The
other name given to B-DNA is the Watson-Crick model.
Q25. Enzymes which catalyse the interconversion of
optical, geometrical or positional isomers are
Solution
Isomers are
substances which have the same chemical formula but different optical,
positional or geometric configuration.
Isomerases catalyse
the interconversion of isomeric substances by the rearrangement of molecules.
Q26. Nitrogen is an important component of
Solution
Proteins are polymers of amino acids.
Nitrogen is an important component of amino acids.
Proteins differ from carbohydrates and fats in having nitrogen as a
component of its structure.
Q27. Which of the following groups contains all polysaccharides?
Solution
Glycogen, cellulose and starch are polysaccharides.
Sucrose, maltose and lactose are disaccharides.
Glucose and fructose are monosaccharides.
Q28. State the common feature found in all compounds of the acid pool.
Solution
The common feature found in all compounds of the acid pool is that they
have molecular weights ranging from 18 to approximately 800
dalton.
Q29. State the normal blood glucose concentration in a healthy individual.
Solution
The normal blood glucose concentration in a healthy individual is 4.5-5.0 mM.
Q30. Uracil is present in RNA at the place of
Solution
Uracil is a pyrimidine present in RNA in place of
thymine in DNA.
Q31. The simplest amino acid is
Solution
Glycine is the simplest amino acid, with hydrogen as its R group.
Q32. Amino acids, as the name suggests, have both an amino group and a carboxyl group in their structure. In addition, all naturally occurring amino acids (those which are found in proteins) are called L-amino acids. From this, can you guess from which compound the simplest amino acid is made?
Solution
The general structure of an amino acid is given below.
From this we can deduce that the simplest amino acids are derived from methane.

Q33. Name the most abundant protein found in the animal world.
Solution
Collagen
Q34. Which is wrong about nucleic acids?
Solution
Length of one helix or the pitch per turn of helix is 34A°, 25A° in A-DNA and 46A° in Z-model of DNA.
Q35. State the units used to express the concentration of biomolecules.
Solution
The units used to express the concentration of biomolecules are
mols/cell and mols/litre.
Q36. Lactose is made of
Solution
Lactose is made of glucose and galactose joined by 1 and 4 carbon
atoms.
Lactose is present in milk.

Q37. A segment of DNA has 120 adenine and 120 cytosine bases. The total number of nucleotides present in the segment is
Solution
According to Chargaff’s rule, in DNA, the amount of adenine is always equal to that of thymine and the amount of guanine is always equal to that of cytosine.
A = T = 120 and C = G = 120
Thus, the total number of nucleotides in DNA is 480.
Q38. Conjugated proteins containing carbohydrates as a prosthetic
group are known as
Solution
Glycoproteins are conjugated proteins with a simple or complex sugar
residue at their N-terminal end. They are found in egg white, mucin, IgG and heparin.
Q39. Proteins perform many physiological
functions. For example, some function as enzymes. Which one of the following
represents an additional function which some proteins discharge?
Solution
Hormones are chemical substances which are released in the body for
regulation and metabolism in cells.
Many hormones such as insulin and parathormone are proteinic in
nature.
Q40. Give any one example of a coenzyme which acts as a cofactor.
Solution
Nicotinamide adenine dinucleotide (NAD)
Q41. The bacterial cell wall is formed of
Solution
The cell wall of bacteria is mainly composed of peptidoglycan.
Peptidoglycan is a heteropolymer containing
polysaccharide chains.
These chains are crossed linked by peptides.
Q42. Many elements are found in living organisms either free or in the form of compounds. One of the following is not found in living organisms:
Solution
Silicon is absent or found in negligible amounts in living organisms.
Q43. Which one is correct base pairing for
DNA molecule?
Solution
In a DNA molecule, adenosine pairs with thymine using two hydrogen
bonds.
Q44. Cellulose, the most important
constituent of the plant cell wall, is made up of
Solution
Cellulose is made up of glucose monomers. It is an unbranched chain of
glucose molecules linked by a β,1,4 glycosidic bond.


Q45. In the double helix model of DNA, how
far is each base pair from the next base pair?
Solution
One turn of DNA double helix is 3.4 nm long.
Each turn contains 10 base pairs.
Thus, the distance between two base pairs in DNA is 0.34 nm.
Q46. Key and lock hypothesis of enzyme action was given
by
Solution
Emil Fischer
suggested the lock and key hypothesis for enzyme action in 1894.
Q47. Enzymes increase the rate of biochemical reaction through
Solution
Enzymes increase the rate of biochemical reaction through lowering the activation energy.
By lowering the activation energy, it allows a large number of molecules to react at a time, and thus, the rate of chemical reaction increases.
Q48. Which one contains four pyrimidine bases?
Solution
Adenine and guanine are purine bases.
Thymine, cytosine and uracil are pyrimidine bases.
In option A - GATCAATGC - two thymine molecules and two cytosine molecules are present.
Q49. DNA is
composed of repeating units of
Solution
A nucleotide is composed of a
nitrogen base, pentose sugar (deoxyribose in DNA) and phosphate.
Thus, DNA is said to be
composed of repeating units of deoxyribonucleotides.
Q50. Name any two inorganic constituents found in the living tissue.
Solution
Magnesium and calcium carbonate
Q51. Represent the glycogen molecule diagrammatically. What are the two
ends of a polysaccharide chain called?
Solution
The left end of a polysaccharide chain is called the non-reducing end
and the right end is called the reducing end.

Q52. Give an example of anabolic pathway.
Solution
Example of the anabolic pathway: Formation of cholesterol from acetic acid
Q53. What are phospholipids?
Solution
Lipids which consist of phosphorus and phosphorylated organic
compounds are called phospholipids.
Q54. What is the rate of a chemical or physical process? When is the rate
also called velocity?
Solution
The rate of chemical or physical process is the amount of product formed
per unit time.
When the direction is specified, the rate is also called velocity.
Q55. Feedback inhibition of enzymes is affected by which
of the following:
Solution
Feedback inhibition
is a mechanism when the end-product of a chemical reaction results in
blocking the enzyme activity of the key enzyme which resulted in its production.
When the
concentration of the end-product rises, it binds to the enzyme at a site
different from the active site and changes the structure of the enzyme.
As a result, the
substrate can no longer bind to the enzyme and the reaction stops.
Q56. Define living state.
Solution
The living state is a non-equilibrium steady state to be able to
perform work.
Q57. What is a nucleotide?
Solution
A nucleotide is the combination of a nitrogenous base, a pentose sugar
and a phosphate group esterified with the pentose sugar.
Q58. How is a peptide bond formed?
Solution
When the carboxyl (-COOH) group of one amino acid reacts with the
(-NH2) group of the next amino acid, a molecule of water is eliminated by the
process dehydration resulting in the formation of a peptide bond.
Q59. The two strands of DNA are held together
by bonds of
Solution
Two hydrogen bonds present between adenine and thymine and three
hydrogen bonds present between cytosine and guanine hold the two strands of
DNA together.
Q60. Which enzyme converts glucose into alcohol?
Solution
Zymase is an enzyme
complex generally formed in yeast. It catalyses the conversion of glucose to
form ethanol and carbon dioxide. This conversion is called fermentation.
Q61. The enzyme which cuts DNA is
Solution
Restriction
endonucleases are a group of enzymes which bring about cuts in DNA at
specific sequences.
They are also called
biological scissors.
Q62. The amino acid essential in man is
Solution
Phenylalanine is an essential amino acid in man.
It must be ingested with food as it is important for survival and is not
synthesised in the human body.
Q63. The number of base pairs present in one turn of DNA is
Solution
One turn of DNA double helix is 3.4 nm long.
Each turn contains 10 base pairs.
Thus, the distance between two base pairs in DNA is 0.34 nm.
Q64. Which one is true for ATP?
Solution
ATP works in conjugation with many enzymes. It transfers the phosphate group to the substrate and releases energy.
Q65. Lipids are part of the acid-insoluble fraction, but they are not
strictly macromolecules. Justify.
Solution
Lipids are low molecular weight compounds.
They are present in cell membranes and other membranes of the cell.
While grinding the tissue with the trichloroacetic acid, the membranes
are broken into pieces and form vesicles which are not water soluble.
These vesicles of the membrane fragments get separated with the acid-insoluble
pool and come with the macromolecular fraction.
Hence, although lipids are part of the acid-insoluble fraction, they
are not strictly macromolecules.
Q66. Differentiate between primary metabolites and secondary metabolites.
Solution
Primary Metabolites
Secondary Metabolites
Functions
of primary metabolites in physiological processes are known.
Functions
of secondary metabolites in the human body are unclear.
Examples:
Amino acids, sugars
Examples:
Carotenoids, curcumin
Q67. ATP was discovered by
Solution
Karl Lohmann
discovered ATP in 1929.
He discovered ATP in muscle
cells.
Q68. A homopolymer has only one type of building block called a monomer repeated 'n' number of times. A heteropolymer has more than one type of monomer. Proteins are heteropolymers made of amino acids. While a nucleic acid like DNA or RNA is made of only 4 types of nucleotide monomers, proteins are made of
Solution
Amino acids joined by peptide bonds form proteins. Twenty types of amino acids are present in natural proteins.
Q69. Give examples of the following:
Acidic amino acid
Basic amino acid
Aromatic amino acid
Solution
Acidic amino acid - Glutamic acid
Basic amino acid - Lysine
Aromatic amino acid - Phenylalanine
Q70. An enzyme/protein is formed by chemically bonding together
Solution
The amino group of one amino acid is joined to the carboxyl group of the other amino acid and forms peptide bonds. Thus, amino acids join by peptide bonds and result in the formation of proteins/enzymes.
Q71. Name the following:
Polymer of fructose
Polymer of glucose
Polysaccharide containing I2
A nucleic acid with pentose sugar
Solution
Polymer of fructose - Inulin
Polymer of glucose - Cellulose
Polysaccharide containing I2 - Starch
A nucleic acid with deoxyribose sugar - Deoxyribonucleic acid (DNA)
Q72. Wilkin’s X-ray diffraction showed DNA diameter to be
Solution
Diameter of DNA molecule is 20


Q73. Genetic engineering requires enzyme
Solution
Restriction
endonucleases are known as biological scissors.
They are of
different types. Each restriction endonuclease cuts the DNA at a specific
site only, resulting in the formation of a fragment which can be used for
recombination techniques.
Q74. One mole of glucose on metabolism liberates
how many kilocalories of energy?
Solution
On metabolism, glucose produces carbon dioxide, water and some
nitrogenous compounds along with the release of energy which can be used by
the cells.
One mole of glucose on oxidation releases 280 kilocalories of energy.
Q75. End-products of the same metabolic pathway can be different in
different conditions. Justify.
Solution
The end-products of the same metabolic pathway can be different in
different conditions.
Example:
If glycolysis occurs in aerobic conditions, the end-product is pyruvic
acid.
If glycolysis occurs in anaerobic conditions, the end-product is
lactic acid.
In yeasts, during fermentation, the same process leads to the
formation of ethanol.
Q76. Protein synthesis in an animal cell takes place
Solution
Protein synthesis takes place on ribosomes which are found in the cytoplasm
and mitochondria.
Q77. Explain the effect of the concentration of substrate on the activity of enzyme.
Solution
With an increase in the substrate concentration, the velocity of the enzyme reaction increases.
At some point, the number of enzyme molecules is lower than the number of substrate molecules.
The reaction reaches a point of saturation where there no free enzyme molecules to bind with the substrate.
Hence, the rate velocity or the rate of the reaction at the saturation state is maximum, which is Vmax.

Q78. Write one
characteristic feature of prosthetic cofactors.
Solution
Prosthetic
groups bind tightly with the apoenzyme.
Q79. Which of the following are the most diverse
molecules of a cell?
Solution
Proteins are the most
diverse molecules of a cell. They can have a primary, secondary, tertiary or
quaternary structure.
Amino acids are the
building blocks of proteins, and 20 different amino acids occur in natural
proteins.
Q80. What are unsaturated fatty acids?
Solution
Fatty acids with one or more C = C double bonds are called unsaturated
fatty acids.
Q81. The combination of apoenzyme and coenzyme produces
Solution
The apoenzyme is the protein part of a conjugated enzyme, and the coenzyme is the non-protein part.
The combination of the apoenzyme and the coenzyme results in the formation of a functional enzyme which is called holoenzyme.
Q82. The protein part of a conjugated enzyme is
Solution
A functional conjugated enzyme contains one protein part and the other cofactor or prosthetic group.
The protein part is called apoenzyme.
Q83. Enzymes, vitamins and hormones are common in
Solution
Enzymes, vitamins and hormones, all help in regulating different metabolic processes in the body.
Q84. What are α-amino acids?
Solution
Amino acids in which the amino group and the acidic group are present
as the substituents on the same α-carbon are called α-amino acids.
Q85. Write the expression used for the rate of physical or chemical process.
Solution
The rate of physical or chemical process =
Q86. Name the bond which links monosaccharides to form a polysaccharide.
Solution
The glycosidic bond joins monosaccharides to form a polysaccharide.
Q87. Write the name of the chemical used during the chemical analysis of liver
tissue.
Solution
Trichloroacetic acid is used for the chemical analysis of liver
tissue.
Q88. What is the unit used to measure the concentration of hormones present
in living organisms?
Solution
The unit used to measure the concentration of hormones present in
living organisms is nanogram/ml.
Q89. A peptide bond is formed between which amino acids?
Solution
A peptide bond is formed between the amino group of the first and the carboxyl group of the second amino acid.
Q90. Cholesterol
is
Solution
Cholesterol
is a sterol. It is a steroid present in abundance in animal tissues. Its
formula is C27H45OH.
Q91. Name two alkaloids and flavonoids.
Solution
Alkaloids:
Morphine, codeine
Flavonoids:
Quercetin, apigenin
Q92. Define optimum temperature.
Solution
The temperature at which an enzyme shows its highest activity is
called optimum temperature.
Q93. Define inhibitor.
Solution
An inhibitor is a substance which shuts off the activity of the enzyme
by binding to the active site or some other site.
Q94. Name any two nucleotides.
Solution
Guanylic acid
Cytidylic acid
Q95. State the factors affecting the activity of enzymes.
Solution
Factors affecting the activity of enzymes are as follows:
Temperature
pH
Change in substrate concentration
Q96. The most abundant mineral of the animal body is
Solution
Calcium is the most abundant mineral of an animal body.
It contributes to about 2.5% of the total elements present in a cell.
Q97. Define biomolecules.
Solution
All the carbon compounds which are obtained from living tissues are
called biomolecules.
Q98. There cannot be a living state without metabolism. Justify.
OR
The living state and metabolism are synonymous. Justify.
Solution
The living state is non-equilibrium steady state able to perform work.
Metabolism provides the mechanism for energy.
The living process is a constant effort to prevent falling into
equilibrium.
Q99. Define cofactors.
Solution
Cofactors are the non-protein constituents which bind to the enzyme to
make the enzyme catalytically active.
Q100. Name the vitamin present in NADP.
Solution
Niacin is present in NADP.
Q101. One turn of the DNA double helix spans a
distance of
Solution
One turn of DNA double helix is 3.4 nm long.


Q102. What are proteins?
Solution
Proteins are polypeptides, i.e. macromolecules formed of a linear
chain of amino acids linked to each other by peptide bonds.
Q103. Nucleotide, found free in the cells, is
Solution
A triphosphate form of a nucleotide is the most stable form.
ATP is a nucleotide which can be found free, unincorporated in the
cell.
Q104. Describe the salient features of B-DNA.
Solution
Salient features of B-DNA are as follows:
The two strands of polynucleotides run anti-parallel.
The backbone of the double helical structure is formed by the sugar-phosphate-sugar chain.
The nitrogenous bases lie perpendicular to the backbone of the molecule. They lie on the inner side.
There is a complementary base pairing between two anti-parallel strands. Example: A pairs with T and G pairs with C. A and T are paired by the formation of two hydrogen bonds, and G and C are paired by the formation of three hydrogen bonds.
Each strand of DNA appears like a helical staircase.
Each step of the strand is represented by a pair of bases.
At each step, the strand turns 36°.
One full turn of the strand involves 10 base pairs.
The distance between two successive sugar molecules is 3.4
.
Q105. Describe the formation of a phosphodiester bond in a nucleic acid.
Solution
A phosphate bond links the 3′ carbon of one sugar of one nucleotide
with the hydroxyl group of the 5′ carbon of the sugar of the succeeding
nucleotide. This results in the formation of an ester bond. Because such an ester
bond is formed on either side of the nucleotide, it is called a phosphodiester
bond.
Q106. Define optimum pH.
Solution
The pH at which an enzyme shows its highest activity is called its
optimum pH.
Q107. Describe the chemical analysis carried out for a plant tissue.
Solution
The tissue to be analysed is ground with trichloroacetic acid.
The thick slurry of tissue and trichloroacetic acid is then strained through cheesecloth.
Two solutions are obtained - filtrate and retentate.
The filtrate is an acid-soluble pool which contains a number of organic compounds.
Retentate is the acid-insoluble fraction of the slurry.
Q108. Write the three types of cofactors.
Solution
Three types of cofactors are
Prosthetic groups
Coenzymes
Metal ions
Q109. Draw the structures of
Adenosine
Adenylic acid
Solution
Structure of Adenosine:
Structure of Adenylic Acid:


Q110. A unit composed of sugar and nitrogen base linked by a glycosidic bond is
Solution
A nucleoside contains a pentose sugar and a nitrogen base joined by glycosidic bonds.
A purine is an aromatic double ring compound. It contains a pyrimidine ring and an imidazole ring fused together.
A glycoside is a compound which contains a sugar molecule bound to a functional group through glycosidic bonds.
A nucleotide contains a pentose sugar, a nitrogen base and a phosphate molecule.
Q111. When is a protein structure called a tertiary structure?
Solution
When the long protein chain gets folded upon itself like a hollow woollen ball, the structure is called the tertiary structure of a protein.
Q112. Expand the term RuBisCO.
Solution
RuBisCO - Ribulose bisphosphate carboxylase-oxygenase
Q113. What is enzyme inhibition?
Solution
Enzyme inhibition is the process during which an inhibitor binds to
the enzyme either on its active site or some other site and shuts off the
activity of the enzyme.
Q114. Write the IUPAC name of glycerol.
Solution
The IUPAC name of glycerol is trihydroxy propane.
Q115. Name any two nucleosides.
Solution
Uridine
Thymidine
Q116. Describe the catalytic cycle of enzyme action. Also write the symbolic equation of the formation of the enzyme-product complex.
Solution
The catalytic cycle of an enzyme action occurs in the following steps:
The substrate binds to the active site of the enzyme.
The binding of the substrate induces a change in the shape of the enzyme molecule, and the substrate firms itself more tightly into the active site.
The active site results in the breaking of the chemical bonds of the substrate, resulting in the formation of a new enzyme-product complex.
The enzyme molecule releases the product of the reaction and becomes free again to receive the new substrate molecule.

Q117. Which parts of the cells form an acid-insoluble fraction?
Solution
Cytoplasm and cell organelles form the acid-insoluble fraction.
Q118. State any one property of amino acids.
Solution
-NH2 and -COOH groups of amino acids exhibit the ionisable
nature.
Q119. Give any two examples of aromatic amino acids.
Solution
Examples of aromatic amino acids are tryptophan and tyrosine.
Q120. Write the symbolic representation for ligases.
Solution
Symbolic representation for ligases:

Q121. Name the protein which is most abundantly found in the biosphere.
Solution
Ribulose bisphosphate carboxylase-oxygenase (RuBisCO) is the most
abundantly found in the biosphere.
Q122. What is the energy currency in living organisms?
Solution
Adenosine triphosphate (ATP) is the energy currency in living organisms.
Q123. Draw a primary structure of a hypothetical protein.
Solution
Primary Structure of a Hypothetical
Protein:

Q124. Explain the graph representing the concept of activation energy.
Solution

Q125. Write the percent weight of the following in the human body.
Oxygen
Nitrogen
Sodium
Carbon
Solution
Oxygen - 65%
Nitrogen - 3.3%
Sodium - 0.2%
Carbon - 18.5%
Q126. In solutions of different pH, the structure of amino acids changes. Justify.
Solution
The -NH2 and -COOH groups of amino acids exhibit an ionisable nature. With a change in pH, these groups undergo ionisation. Hence, the structure of amino acid changes in solutions of different pH.

Q127. Explain how metal ions activate enzyme action. Give one example.
Solution
Metal ions form coordinate bonds with the side chains at the active site. At the same time, they form one or more coordinate bonds with the substrate. Example: Zinc acts as a cofactor for the proteolytic enzyme carboxypeptidase.
Q128. Name the following:
Store house of energy in plants.
Molecules present in the helical portion of a
starch molecule.
A polysaccharide present in the exoskeleton of
arthropods.
Heterocyclic compound present in nucleic acids.
Solution
Store house of energy in plants - Starch
Molecules present in the helical portion of a
starch molecule - I2
A polysaccharide present in the exoskeleton of
arthropods - Chitin
Heterocyclic compounds present in nucleic acids
- Nitrogenous bases
Q129. What are ribozymes?
Solution
Nucleic acids which act like enzymes are called ribozymes.
Q130. Give examples of any two commercial products which are cellulosic.
Solution
Two commercial cellulosic products are paper pulp and cotton fibre.
Q131. Distinguish between anabolic pathway and catabolic pathway.
Solution
Anabolic Pathway
Catabolic Pathway
Chemical reactions in which the formation of complex structures from simpler structures occurs are anabolic pathways.
Chemical reactions in which the complex molecules are degraded into simple molecules are called catabolic pathways.
These pathways consume energy.
These pathways release energy.
Example: Formation of protein from amino acid
Example: Conversion of glucose into lactic acid
Q132. Give an example of a lectin.
Solution
Conconavalin A is a lectin (carbohydrate-binding protein) which is extracted from the jack-bean
Q133. Explain the mechanism of enzyme inhibition.
Solution
An inhibitor usually closely resembles the substrate in its molecular
structure.
Due to structural resemblance, the inhibitor competes with the
substrate for the substrate-binding site of the enzyme.
Hence, the substrate cannot bind to the enzyme which results in a decline
of enzyme action.
Q134. Name the following:
20 carbon atom fatty acid
16 carbon atom fatty acid
Solution
20 carbon atom fatty acid - Arachidonic acid
16 carbon atom fatty acid - Palmitic acid
Q135. Write the names of two complex polysaccharides consisting of amino
sugars.
Solution
The two complex polysaccharides consisting of amino sugars are glucosamine
and N-acetyl galactosamine.
Q136. Name the four
inorganic compounds present in the acid-insoluble fraction of the slurry of
living tissue and trichloroacetic acid.
Solution
Proteins, nucleic
acids, polysaccharides and lipids are present in the acid-insoluble fraction
of the slurry of living tissue and trichloroacetic acid.
Q137. Draw the structures of
Cholesterol
Uracil
Triglyceride
Solution
Cholesterol:
Uracil:
Triglyceride:



Q138. Name the nucleic acid which consists of a monosaccharide pentose
sugar.
Solution
Ribonucleic acid (RNA)
Q139. Define metabolic pathways.
Solution
Metabolic pathways are a series of linked reactions through which biomolecules are converted into each other.
Q140. What is the active site of an enzyme?
Solution
An active site is a crevice on the enzyme molecule into which a
substrate molecule fits.
Q141. Write the zwitterionic form of amino acids.
Solution
Zwitterionic form of amino acids:
Q142. Define activation energy.
Solution
The difference in average energy content of a substrate from its
transition state is called activation energy.
Q143. Describe the primary structure of protein.
Solution
The primary structure of protein gives the positional information or the information about the sequence of amino acids.
The left end of the protein chain is represented by the first amino acid (i.e. the N-terminal amino acid) and the right end is represented by the last amino acid (i.e. the C-terminal amino acid).
Q144. How many amino acids exist in the biosphere?
Solution
20 amino acids exist in the biosphere.
Q145. Which of the following enzymes is used in making a detergent?
Solution
Protease helps to
remove tough stains caused by protein substances. Hence, they are widely used
enzymes in detergents.
Q146. Name the bond which links amino acids in a polypeptide.
Solution
The peptide bond links amino acids in a polypeptide.
Q147. Identify the following:
Protein which enables glucose to transport into cells
Intercellular ground substance
Solution
Protein which enables glucose to transport into cells - GLUT-4
Intercellular ground substance - Collagen
Q148. Describe any five classes of enzymes.
Solution
There are a total of six classes into which enzymes are categorised:
Transferases: These enzymes catalyse the transfer of a group (G) between a pair of substrates (S and S′).
Dehydrogenases (Oxidoreductases): These enzymes catalyse oxidoreduction between two substrates.
Hydrolases: These enzymes catalyse the hydrolysis of ester, ether, peptide, glycosidic linkages, C-C, C-halide and P-N bonds.
Ligases: They catalyse the linking together of two compounds. These enzymes join C-°, C-S, C-N and P-° bonds.
Isomerases: These enzymes catalyse the interconversion of optical, geometric or positional isomers.

Q149. State the functions of proteins.
Solution
Functions of proteins:
Transport nutrients across the cell membrane.
Example: GLUT-4
Fight against infectious agents. Example: Antibodies
Work as enzyme. Example: Trypsin
Act as hormones. Example: Insulin
Q150. What are saturated fatty acids?
Solution
Fatty acids which do not contain any C = C double bond are called
saturated fatty acids.
Q151. State the number of hydrogen bonds present between the following base pairs:
Adenine and Thymine
Guanine and Cytosine
Solution
Two hydrogen bonds - Adenine and Thymine
Three hydrogen bonds - Guanine and Cytosine
Q152. Give any two examples of amino acids.
Solution
Two examples of amino acids are proline and alanine.
Comments
Post a Comment